• L'AUTORE
  • I LIBRI
  • ARCHIVIO
  • 100 BEST ITALIAN ROSÉ
  • Appena Cotti
    News
    • Breaking News
    • GARANTITO IGP
    • Curiosità
    • Documento
    • News dalle Aziende e dagli Enti
    • News dalle Guide
    Eventi
    • Persone Eventi da Raccontare
    Rubriche
    • Minima Gastronomica
    • Polemiche e punti di vista
    • Frasi sotto spirito
    • La cazzata del giorno
    • La Posta di Luciano
    • Cinema e cibo
    • La stanza di Carmen
    • Terza pagina di Fabrizio Scarpato
    • Visti in Tv
  • Mangiare e Bere
    Bere
    • Cantine e Produttori di Vino
    • I vini da non perdere
    • I vini del Mattino
    • Champagne e Vini Francesi
    • Giro di vite
    • Verticali e orizzontali
    • Enoteche e Wine Bar
    • Birre artigianali e birrifici
    • Enoteche, Wine & Cocktail bar
    Mangiare
    • Ristoranti e Trattorie al Nord
    • Ristoranti e Trattorie al Centro
    • Ristoranti e Trattorie al Sud
    • I migliori in italia e all'estero
    • Pizzerie
    • Agriturismi
    • Bracerie
    • Paninoteche
    • Pasticcerie e Gelaterie
    I migliori
    • I migliori locali
    • I migliori piatti
    • Le migliori friggitorie
    • Il miglior street food
    • I migliori caseifici
    • I migliori panifici
    • I migliori sushi
    • I migliori vini
  • Ricette
    • Antipasti
    • Primi Piatti
    • Secondi Piatti
    • Minestre e Zuppe
    • Contorni
    • Pani, pizze e lievitati La pizza della settimana
    • Dessert Drink & Cocktail
    • Dolci I dolci di Claudia Deb
    • La Tavola di Pulcinella
    • La Calabria di Pinuccio Alia
    • Libri di Ricette
    • I miei prodotti preferiti
    • Ricette d'autore Estive Di stagione Veloci
    • Di carne Di pesce Vegetariane e vegane Gluten Free
    Ricette delle feste
    • Pasqua Natale Carnevale
    Ricette dei territori
    • Campania Napoli Cilento / Vallo di Diano La Costiera
    • Sannio Irpinia Agro nocerino sarnese
    • Roma e Lazio Bologna Marche Abruzzo
    • Molise Basilicata Puglia Calabria Sicilia
    • Ricette dal mondo
  • Stanze del Gusto
    • Piccoli Grandi Agricoltori
    • Panifici e pizza al taglio
    • Pastifici
    • Macellerie e Salumifici
    • Pescherie
    • Caseifici
    • Salumerie e Gastronomie
    • Oleifici e Frantoi
    • Conserve
    • Enoteche e Wine Bar
    • Coffee bar e Produttori
    • Liquori, infusi & C
    • Formazione
    • Libri da mangiare
    • Dormire nel gusto
  • Cucine
    Città e Paesi da mangiare e bere
    • Barcellona
    • Diario di Capri
    • La Calabria di Pinuccio Alia
    • Lisbona
    • Londra
    • New York
    • Parigi
    In Italia
    • Dieta Mediterranea Cucina di mare
    • Tradizionale / del territorio
    • Etnica / Fusion
    • Vegetariana / Vegana
    • Alimentazione corretta
    • Gluten Free
    • Fast Food Asporto / Delivery
    Internazionale
    • Alta cucina / Innovativa
    • Italiana all'estero
    • Francese
    • Spagnola
    • Giapponese
    • Cinese
    • Ebraica
    • Scuole / Laboratori / Concorsi
  • Contest
    50 Best Restaurant
    50 Top Italy
    • Luxury
    • Pasticcerie
    • Rosé
    50 Top Pizza
    Le Strade della Mozzarella
    • 2014 2015 2016 2017
    • 2018 2019 2020
    Primo Piatto dei Campi
    • 2021 2022 2023
    Rivoluzione vegetale
    Veggie Style D'Amico
    • Caputo Bread Project 2022
    • L’Altra Faccia del Tiramisù
    • Fior... di Teglia 2022
    • Brunch all’Italiana 2022

tannini


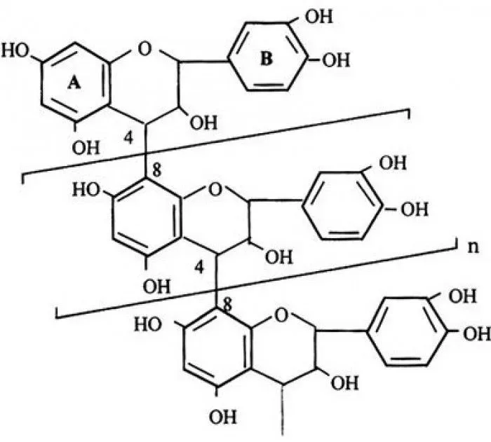
30/5/2012
Torna a: Garantito IGP. L’insostenibile leggerezza del tannino

tannini

  • Successiva →

Articoli recenti

Scegli un mese
Maggio 2026 Aprile 2026 Marzo 2026 Febbraio 2026 Gennaio 2026 Dicembre 2025 Novembre 2025 Ottobre 2025 Settembre 2025 Agosto 2025 Luglio 2025 Giugno 2025 Archivio completo

Facebook

Luciano Pignataro Wine Blog
Kyle Phillips's Italian Wine Review
Carlo Macchi - Winesurf
Lorenzo Colombo
Roberto Giuliani - Lavinium
Luciano Pignataro - WineBlog
Stefano Tesi - Alta fedeltà
Angelo Peretti - Internet Gourmet
Andrea Petrini - Percorsi di Vino
50 Top Italy
50 Top Pizza

Ultimi commenti

  • justintime: onnipresente, sotto ogni articolo.
  • FRANCESCO MONDELLI: Era de maggio!Fine mese di lusso con raffinati formaggi e spumanti sperimentati.Vale il viaggio.PS.Tutti buonissimi ma personalmente un romantico…
  • luca: "Nella narrazione del food" a proposito di Petrini, non si può proprio sentire.
  • FRANCESCO MONDELLI: Personalmente testato alla grande sulla pizza fritta ma non scordiamoci del Gragnano in presenza di pomodoro e dell’Asprino di Aversa sulle piz…
  • Heribert Stohr: Ho scoperto lo scorso anno il Dandy Nero di Troia e l'ho trovato originale e veramente splendido al palato. Sono felice che abbia ritenuto un ric…

Premio Luigi Veronelli

Luciano Pignataro Wine & Food Blog

© 2004 - 2026 Luciano Pignataro
Testata registrata al Tribunale di Salerno n. 8 del 2010
Privacy & Cookie Policy | Modifica impostazioni privacy

Social